Leo ACm150 litinové odstředivé čerpadlo 230V 1,5kW
POUŽITÍ čerpadla ACM 75 a 110 a 150
- k čerpání čisté vody bez abrazivních částic
- čerpání vody ze studní a nádrží
- vhodné pro zavlažovací systémy
- vhodné pro zvýšení tlaku tekoucí vody
VÝHODY čerpadla ACM 75 a 110 a 150
- prémiová kvalita a spolehlivost za skvělou cenu
- speciální antikorozivní úprava litiny
Čerpadlo
- Speciální antikorozivní úprava litiny
- Oběžné kolo z AISI 304
- Hřídel vyrobena z nerezové oceli AISI 304
Motor
- napětí 230V, 50Hz
- měděné vinutí
- vestavěná tepelná ochrana
- třída izolace: F
- stupeň krytí: IPX4
| Kategorie: | Povrchová čerpadla |
|---|---|
| Záruka: | 2 roky |
| EAN: | 8596455021186 |
| Atest na pitnou vodu: | NE |
| Automatická tepelná ochrana: | ANO |
| Jmenovitý proud (A): | 11,50 |
| Jmenovitý příkon motoru - P1 (kW): | 2,20 |
| Jmenovitý výkon motoru - P2 (kW): | 1,50 |
| Kondenzátor: | integrován |
| Konstrukce: | monobloková |
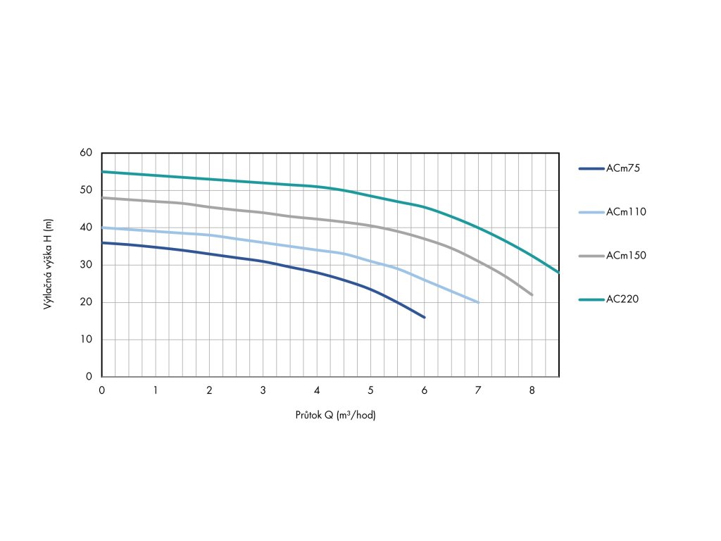
| Maximální průtok (l/min): | 140 |
| Maximální výtlak (m): | 48 |
| Oběžné kolo materiál: | nerez |
| Ochrana proti chodu nasucho: | NE |
| Provedení čerpadla: | horizontální |
| Regulace otáček: | NE |
| Sací hrdlo ("): | 5/4 |
| Sací výška max. (m): | 8 |
| Stupeň krytí (IP): | X4 |
| Teplota média max. (°C): | 60 |
| Vlastní vypínač: | NE |
| Vstupní napětí (V): | 230 |
| Výtlačné hrdlo ("): | 1 |
Buďte první, kdo napíše příspěvek k této položce.
Přidat komentář
