Leo 4XRm2/21-1,1 230V 1,1kW ponorné čerpadlo se spínací skříňkou, kabel 40m
Použití
- Dodávky vody z vrtu a nádrží
- Pro domácí, komunální i průmyslové aplikace
- Pro zahradní použití a zavlažování
Čerpadlo
- Maximální teplota čerpané kapaliny: 35 ˚C
- Maximální příměs písku: 0,25 %
- Maximální hloubka ponoru: 150 m
- Použití pro vrty od 125 mm
Motor
- Převinutelný motor
- Napětí 230V, 50 Hz
- Otáčky: 2850 ot/min
| Kategorie: | Ponorná čerpadla |
|---|---|
| Záruka: | 2 roky |
| EAN: | 8596455021216 |
| Atest na pitnou vodu: | NE |
| Automatická tepelná ochrana: | ANO |
| Délka kabelu (m): | 40 |
| Hloubka ponoru max. (m): | 150 |
| Jmenovitý proud (A): | 8,30 |
| Jmenovitý průtok (l/m): | 25 |
| Jmenovitý příkon motoru - P1 (kW): | 1,80 |
| Jmenovitý výkon motoru - P2 (kW): | 1,10 |
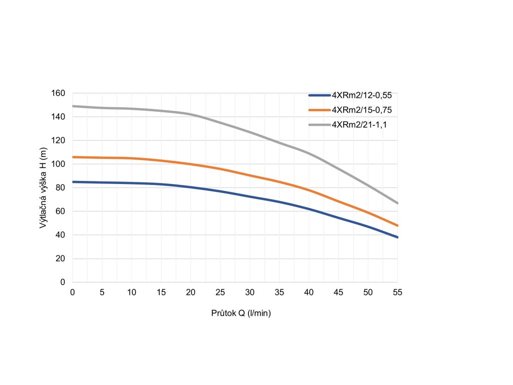
| Jmenovitý výtlak (m): | 136 |
| Kondenzátor: | externí |
| Konstrukce: | odstředivá |
| Maximální průtok (l/min): | 55 |
| Maximální výtlak (m): | 149 |
| Oběžné kolo materiál: | noryl |
| Ochrana proti chodu nasucho: | NE |
| Plovák: | NE |
| Průchodnost oběžným kolem (mm): | 1 |
| Průměr čerpadla ("): | 4 |
| Regulace otáček: | NE |
| Stupeň krytí (IP): | 68 |
| Teplota média max. (°C): | 35 |
| Vlastní vypínač: | ANO |
| Vnější průměr max. (mm): | 100 |
| Vstupní napětí (V): | 230 |
| Výtlačné hrdlo - typ: | INSIDE |
| Výtlačné hrdlo ("): | 5/4 |
| Zpětná klapka: | ANO |
Buďte první, kdo napíše příspěvek k této položce.
Přidat komentář
